首页
集团概况
新闻动态
二级企业概况
信息公开
党建之窗
三明实践
江南(中国)官方
信息公开
Information disclosure
通 知
招投标
采购询价
人才招聘
招标采购监督举报电话:0598-7992792
通知
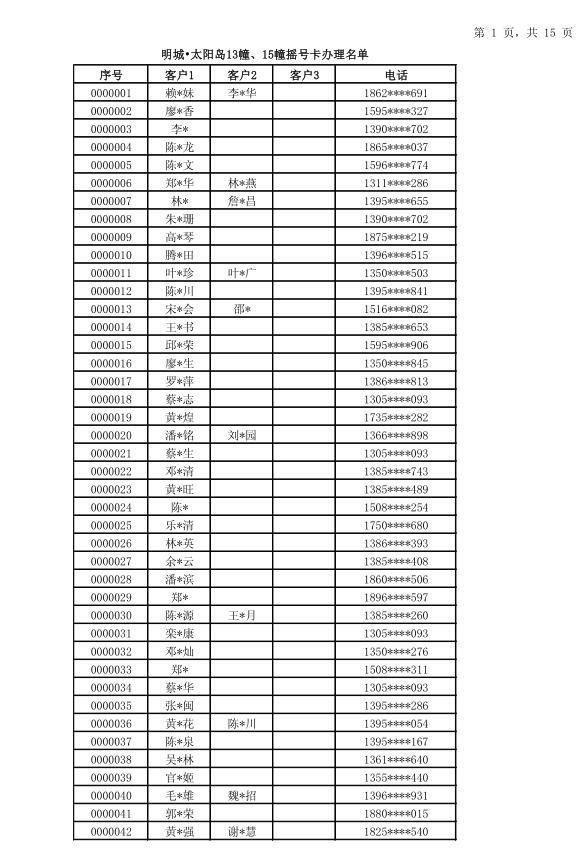
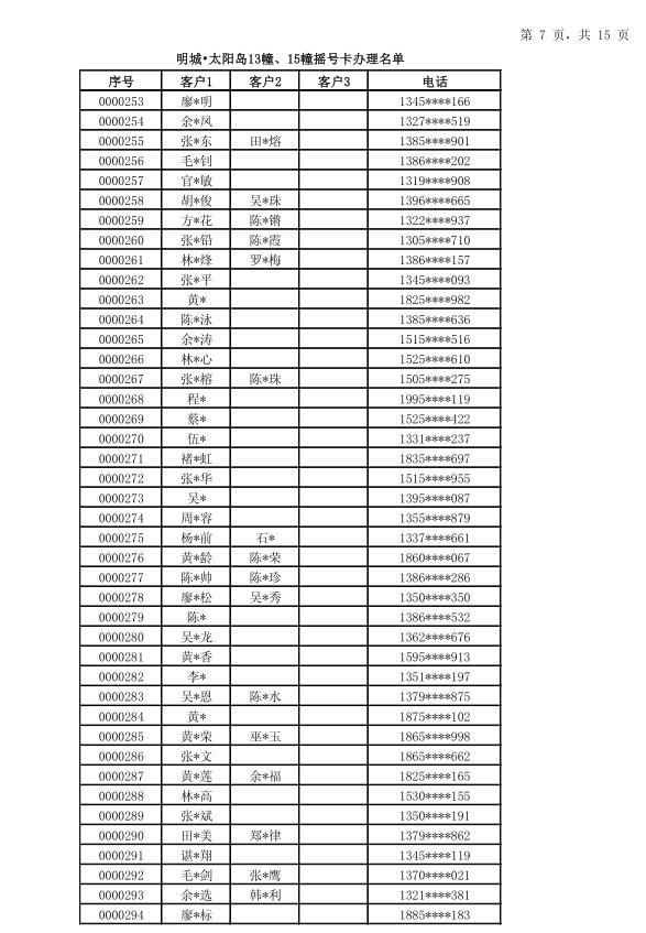
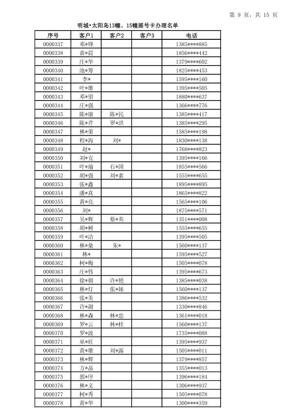
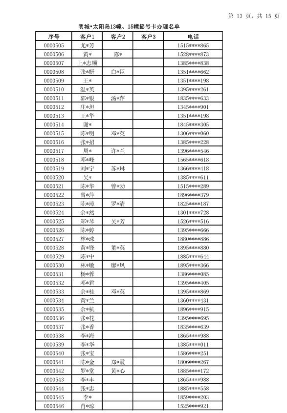
明城·太阳岛13幢15幢开盘“摇号卡办理名单”公示
发布时间:2020-01-13 11:02:00 阅读:10970
上一篇:
明城太阳岛开盘方案
下一篇:
明城·太阳岛13幢15幢开盘摇号卡中签名单公示
c7网页版
|
开云手机站官方端网站登录入口
|
BET体育在线官方网站(中国)官方网站
|
九州平台
|
球友会
|
开云手机登录界面
|
半岛网页版
|
九游网页版·官方版在线入口
|
LETOU.COM
|